邵博士科研隨筆來自于賽思億內部學習資料,主要是邵博士給技術人員有關技術基礎的培訓資料,挑選有代表性的發布,與業內的朋友共享。

拉普拉斯變換和傅里葉變換是所有學習電氣工程的同學心中永遠的痛,因為其覆蓋的課程包括且不限于“基本電路理論”、“積分變換”、“自動控制原理”和“信號與系統”等。就邵博士個人而言,當時的學習有2個很直觀的感覺,一來在學習過程中,完全陷入了拉普拉斯和傅里葉變換的數學公式的記憶和運算中了,二來根本搞不清這兩貨的區別是什么,感覺就是拉普拉斯更加高級一些而已。
作為一種經驗的提煉,或者說僅僅作為一本學習筆記,本文檔總結一下拉普拉斯變換對于賽思億的工作中的一些作用。需要說明的是,本文檔的觀點都是邵博士個人觀點,并不說明這些觀點都是正確的。
雖然我們先學習的是傅里葉變換,但是實際上我先說的是拉普拉斯變換,原因有二,首先是拉普拉斯變換更多的只是一種數學變換,相對理解更為單純,另外拉普拉斯比傅里葉年長19歲,先出生的。所以拉普拉斯變換實際上出現時間早。
拉普拉斯變換本質上是一個數學工具,屬于一種積分變換,即將時域t的信號,轉變成了復數域s的信號。因此,拉氏系統仍然是時域系統,解決的問題也是t的問題。
從邵博士看來,拉普拉斯巧妙解決了對于信號和系統的數學描述。
2.信號與系統
一個信號的性質,可以很清晰地用關于t 的函數x(t)來展現出來,這是老百姓們喜聞樂見的。但是問題來了,一個例如電阻、電感和電容組成的系統,該如何描述呢?一個信號進入了系統之后的結果,又如何描述呢?
拉普拉斯是這么考慮的:
|
1. |
信號x(t)通過拉普拉斯變換,可以轉換成X(s)。 |
|
2. |
一個系統,如果用一個沖擊函數δ(t)作為輸出,這個系統的輸出G(t)進行拉普拉斯變換,就成為這個系統的所謂系統函數G(s)。 |
|
3. |
信號X(s)經過系統G(s)之后的輸出是Y(s) =X(s)G(s),其反變換y(t)就是輸出信號。 |
總結來說,在拉普拉斯看來,信號和系統的本質是一樣的,都是用s的一串描述。一個任何信號X(s)經過系統G(s),和一個信號G(s)經過系統X(s),結果是完全一致的。從觀察者來說,信號和系統沒有區別?;蛘哒f“信號即系統,系統即信號”。

皮埃爾-西蒙 拉普拉斯 Pierre-Simon Laplace 1749 ~ 1827
拉普拉斯做了很多事情,研究了概率論,做過拿破侖的老師。但是他最大的貢獻是讓很多21世紀的電氣專業學生生活在拉普拉斯變換的恐懼中。
3.一階系統分析
假設有一個一階系統:

我們現在要考察一個階躍信號x(t) = ε(t)進入這個系統之后的輸出是啥樣子,該如何做呢?
3.1 數學計算
如果用數學計算的方法,那么首先計算階躍信號ε(t)的拉普拉斯變換,可以得到:

這樣系統的輸出為:

對輸出進行拉普拉斯反變換,可以得到:

這個時域信號在t = 0的時候是0,在t = +∞的時候是1。
3.2 Matlab仿真結果
為了有更好地直觀的感受,可以考察一下如圖表 2的階躍系統仿真。

圖表 2 Matlab的一階系統階躍仿真模型

圖表 3 一階系統階躍仿真結果
這個系統函數為
的系統又稱為“一階低通濾波器”,當然,最終講清楚這件事情的是還沒有登場的傅里葉。一階系統可以是一階低通濾波器,也可以是一階高通濾波器。其中一階低通濾波器最為常見,因此本文主要講低通濾波器。直觀地說,一階低通濾波器就是將信號變化的速度變緩慢,從一個鋒銳的階躍變成緩慢的上升。
3.3 一階低通濾波器的時間常數
不失一般性,我們給出一個一階低通濾波器的最常見的狀態:

參照3.1的方法,可以得到其階躍響應為:

其中T就是一階低通濾波器的時間常數。很顯然,t越大,y(t)約接近于1。這個t的時間用時間常數T來衡量最合適不過。
從表格 1可以看到,當t = 3T時,y(t)達到了最終穩定值的95.0%(3T原理),當t = 5T時,y(t)達到了最終穩定值的99.3%(5T原理)。

表格 1 一階系統時間常數計算
從圖表 3也可以清晰地觀察到3T原理和5T原理的結果。
3.4 一階低通濾波器的應用


圖表 4 經過一階低通濾波器的輸入和輸出(左圖為輸入,右圖為輸出)
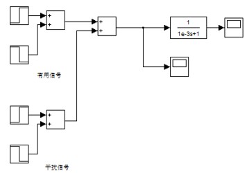
這里討論一階低通濾波器的一種應用。左圖為一階低通濾波器的信號輸入,在1s的時候,有一個長度為100ms的有用脈沖信號進入,在1.19s時,有一個長度為0.1ms的干擾信號進入。
系統希望對有用信號進行動作,但是想消除干擾信號的影響。為了這個目的,構筑一個低通濾波器:

用圖表 5所示的仿真模型,可以得到圖表 4右圖的結果。可以看到,有用信號幾乎沒有太大的影響,而無用的信號由于時間寬度太窄,幾乎被消滅不見了。
這種濾波器的設計,關鍵在于時間常數T。時間常數T越大,則有用信號的失真越大,但是對干擾的抑制越明顯。

圖表 5 仿真模型
賽思億至少在2個地方使用了上述的概念:
① PPB的光電編碼器濾波硬件電路設計。光電編碼器的輸出使用低通濾波器可以有效地減少干擾對信號的影響,特別是z通道的信號。但是需要注意的是,隨著轉速的升高以及分辨率的上升,有用信號脈沖寬度變窄,則時間常數T需要適當降低。
② PLC中的對于DI信號輸入的濾波調整,采用軟件的方式構筑低通濾波器來消除可能的干擾導致的DI誤響應。
3.5 二級系統響應
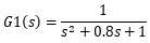
看完了一階系統響應,我們來瞅瞅二階系統響應。假設系統函數分別為:
和 
兩者的階躍響應可以從圖表 6看出一些端倪。G1(s)的階躍響應出現了超調,而G2(s)的階躍響應和一階系統的階躍響應類似,只不過更慢。


圖表 6 G1(s)和G2(s)的階躍響應
二階系統和一階系統不同的是,一階系統永遠是穩定的,而二階系統有可能是振蕩的,可能是穩定但是具有超調,也可能是穩定但是沒有超調,要復雜的多。
所以教科書里面,往往會針對不同的二級系統,定義所謂的“振蕩系統”、“無阻尼系統”、“欠阻尼系統”、“臨界阻尼系統”和“過阻尼系統”等等。這些分析就不展開了。總之來說,二級系統更加復雜。
4.系統函數有什么用
現在簡單展開一下,系統函數或者說拉普拉斯變換還有哪些用處呢?由于系統函數本質上是對一個系統進行了一個深度的數學描述,因此最大的優勢就是可以用數學的計算定量地考察一個系統的性能。特別的,可以用來考察一個系統的穩定性。
系統的穩定性,經典控制系統用所謂的極點來分析。一個控制系統,首先要追求整體系統的穩定性,一般采用閉環傳遞函數來表達。事實上閉環傳遞函數在控制器設計出來之前并不知道,所以一般采分析分析開環傳遞函數的零極點,就可以知道控制的主要參數設計。這時候,一些經典的工具,類似根軌跡法、奈奎斯特曲線法和羅素判據啥的就出來了,其實沒有啥實際工程作用。
我們花了精力解釋了一下一階系統和二階系統。實際上,很多系統都是高階的,但是只要關注最右邊的極點,一般高階系統都可以湊湊合合近似成一階系統或者二階系統。
然而這些系統通常仍然不實用,因為上面所有描述的系統都屬于“線性時不變系統”,那些不屬于線性時不變系統都屬于超綱題了,考試不考的??上У氖牵^大部分的系統都是這種討厭的非線性系統,一般來說,要定性分析這些非線性系統就很難了,更不要說什么零極點了。如果一定要分析,那么就會用小信號模型等方法進行線性化處理。這里不多扯淡了,因為邵博士認為小信號模型方法本身就沒啥用。