邵博士科研隨筆來自于賽思億內部學習資料,主要是邵博士給技術人員有關技術基礎的培訓資料,挑選有代表性的發布,與業內的朋友共享。

“懂與不懂,都是收獲”
拉普拉斯變換和傅里葉變換是所有學習電氣工程的同學心中永遠的痛,因為其覆蓋的課程包括且不限于“基本電路理論”、“積分變換”、“自動控制原理”和“信號與系統”等。就邵博士個人而言,當時的學習有2個很直觀的感覺,一來在學習過程中,完全陷入了拉普拉斯和傅里葉變換的數學公式的記憶和運算中了,二來根本搞不清這兩貨的區別是什么,感覺就是拉普拉斯更加高級一些而已。
作為一種經驗的提煉,或者說僅僅作為一本學習筆記,本文檔總結一下傅里葉變化對于賽思億的工作中的一些作用。需要說明的是,本文檔的觀點都是邵博士個人觀點,并不說明這些觀點都是正確的。
雖然大家喜歡說傅里葉變換,但是意義更為明顯的是傅里葉級數,也稱為FS(Fourier series)。傅里葉用數學的方式,告訴我們任何周期函數都可以用正弦函數和余弦函數,及其頻率倍數正弦函數和余弦函數的無窮級數來表示。
考慮到:

那么再簡單一些,傅里葉級數告訴我們任何周期函數都可以用某一頻率的余弦函數及其頻率倍數的余弦函數的無窮級數來表示。
換一種語言說,傅里葉級數告訴我們,一個周期函數,由一系列的Acos(nωt+θ)組成,其中:
1、A是這一頻率的余弦函數的幅值;
2、n = 0, 1, 2……;
3、ω是這個余弦函數的頻率;
4、θ是這個余弦函數的相位;
進一步,特別考察n:
1、當n = 0時,這個余弦函數體現的是直流分量;
2、當n = 1時,這個余弦函數體現的是基波分量,往往是有用的值;
3、當n > 1時,這個余弦函數體現的是諧波分量;
所以用人話來說,傅里葉級數告訴我們:任何周期函數,都是由直流分量、單獨的基波分量和大量的諧波分量組成。
傅里葉變換是傅里葉級數的一種特殊數學變換,是針對非周期函數而言的。本文檔不做展開。
傅里葉級數比拉普拉斯高級得多的地方,在于傅里葉級數不僅僅是一種數學變換,而是創造了一種哲學,構筑了一個從另外一種視角審視信號的方法,那就是:頻域!

圖表 1 時域和頻域
從“知乎”上找到了一個很直觀的圖,見圖表1,來說明一下同一種信號,可以從兩個維度來理解,分別是時域和頻域。
從時域上來說,任何信號隨著時間t變化的幅度效果,能體現出他的性質;或者呢,將任何周期信號拆解成大量周期性變化的函數的疊加也是一種思路,這些周期的倒數就是頻率,這樣周期信號變成了大量頻率的疊加。
頻域提供了一個很新穎的理解事物的角度。例如:時域上一個模糊不清的“馬鞍形”信號,可能在頻域里面看到,是清晰的基波和三次諧波的疊加。
頻域非常高明,已經深入人心。頻域分析已經是一種哲學,一種信仰的存在了。

讓·巴普蒂斯·約瑟夫·傅里葉 Baron Jean Baptiste Joseph Fourier 1768 ~ 1830
傅里葉是法國人,也曾跟著拿破侖混過。他最早將他的理論應用于熱傳導上面,結果在將論文遞交給巴黎科學院的時候,被拒了。拒掉他的那些大牛中,就有一個叫拉普拉斯的。從這件事情上,我們可以得出:
1、18到19世紀的法國,是多么的燦爛輝煌。
2、法國人對法國人自己,也真是不客氣。
3、即便論文被拒,即便理論不能被世界上大多數人所認可,這些并無損于傅里葉的偉大。

海因里希?魯道夫?赫茲 Heinrich Rudolf Hertz 1857~1894
時域用時間來描述,其基本單位是s,而頻域用頻率(或者角頻率)來描述,其基本單位是Hz。說到Hz,必須要提到赫茲。令人意外的是,赫茲先生比2位法國先賢晚出生了快100年。
賽思億常常做諧波分析,因為所有船級社都會對諧波有一定的要求。簡單地參考C42-A-095《江蘇藍德海上風電作業平臺電力推進系統電網電壓諧波分析》,可以看到,要分析正弦波的波形質量,從時域看到的信息有限,只有從頻域分析每一個頻率點,才可以更為公正地評價波形的正弦性。
從圖表2可以看到,采用賽思億的變頻器,最大諧波源在于開關頻率(2.5kHz)附近以及開關頻率的2倍(5kHz)附近。


圖表 2 時域和頻域的轉換(上圖是時域波形,下圖是頻域波形)
由于實際采集的時域時間總是有限的,任何一個周期時域波形,實戰中都會因為采集長度的影響而在一定程度上呈現出非周期性,因此傅里葉級數僅具備理論上的意義,幾乎不具備實戰作用。
事實上,更實用一些的工具,是針對于非周期(實際是解決了有限時長問題)的時域波形進行傅里葉變換,也叫做FT(Fourier Transform)。
然而FT還是不那么實用,因為實際上現在的模擬量信號都已經通過數字化處理進行了采集,本質上已經不是連續信號了,而是采樣周期相同的離散信號。針對離散信號的傅里葉變換,稱為離散傅里葉變換,也叫做DFT(Discrete Fourier Transform)。
DFT已經實用了,雖然各種好,但是有一個缺點,就是計算量太大。數據長度足夠大或者要求的頻率分隔足夠精細,導致了指數級增加的運算量而變得不可行。這個時候,快速傅里葉變換出現了,這就是注明的FFT(Fast Fourier Transform),其實就是采用了類似蝶形運算等一系列偷雞的方法完成了時域到頻域的轉換。
經歷了FS→FT→DFT→FFT的過程,雖然大家現在做諧波分析都是用FFT,但是實際上其背后的本質卻是傅里葉級數。
要理解實用的DFT或者FFT,本身就是一門非常深奧的科學了,邵博士沒有精力更沒有能力展開。但是無論如何,離散化之后,會出現所謂的“頻譜泄露”等問題,這些問題以后有機會再聊。
最后,賽思億實際做諧波分析的時候,都是用示波器進行采集。為了讓有限的時長盡量體現出周期性,一般賽思億要求示波器的采集周期為10周期。
線性時不變系統是一個很洗腦的概念。和傅里葉級數一樣,這個系統理論很完美,實際幾乎不存在。這個概念確實在“基本電路理論”、“自動控制原理”和“信號與系統”幾門學科中被反復強調。
這里不對線性時不變系統進行深入探討,簡單地說,用電阻、電感和電容等組成的系統就是線性時不變系統,二極管這種東西就不算。
假設有如圖表3的一個電路。

圖表 3 一個典型的線性時不變電路
電阻是最有道德的、純粹的和脫離低級趣味的,因為在任何場合,他就是本色不改,就是用R來描述。但是電感和電容就不是這么看待這個世界的了。

表格 1 電阻、電感和電容
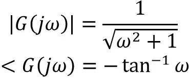
從這個角度上來說,如果站在前面提到的s域,理解圖表3所描繪的系統函數,則有:

如果站在頻域,理解圖表3所描繪的頻域響應,則有:

如果對此頻域響應拆解,可以得到所謂的頻域幅度響應和頻域相位響應,即:

假設輸入vi的是頻率為ω的余弦函數,進入到了這個G(jω)之后,輸出vo會有不同的幅值變化和相角變化(從上面公式來說,這個變化本身和ω有關),但是輸出vo的頻率仍然不會變化,是ω。
前面提到,傅里葉級數認為,所有的周期信號可以認為是不同頻率的余弦函數之和表示。那么輸入信號vi只要是周期信號,必然可以變成大量不同頻率的余弦函數之和(頻率分別是0,ω,2ω,……,Nω,……),每一個頻率為Nω的輸入都能對應一個頻率為Nω的輸出,只不過相位都不一樣罷了,那么其輸出vo可以認為是這些頻率為Nω的輸出的和。這個叫做線性系統的疊加原理。
上面的話可能看不清楚,這里舉一個算例。
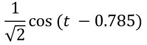
假設輸入vi= cost + cos(3t)。考察輸出vo。
我們首先考察cost輸入圖表3所示的網絡會如何。再次頻域幅度響應和頻域相位響應,即:

顯然,此時ω = 1,那么:

幅值衰減了,相角滯后了。那么輸入cost對應的輸出就是:

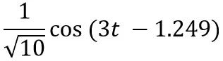
類似地,當ω = 3,那么:

那么輸入cos(3t)對應的輸出就是:

所以最終的輸出vo是:

在這個計算過程中,我們完全不需要考慮輸出信號的頻率,而只要關心這個輸出信號的幅值和相角究竟啥狀態就行了。
如果我們遍歷ω從0到+∞,可以得到針對每一個頻率ω的幅值-頻率響應(簡稱“幅頻響應”)和相角-頻率響應(簡稱“相頻響應”),則可以得到如圖表4所示的波特圖。需要說明的是,波特圖的確比較友善又比較惡心地采用了dB作為縱坐標,這個原因這里不做展開。

圖表 4 波特圖
這個圖很神秘,但是的確展示了圖表3所代表的系統的頻率響應。至少我們可以看到,輸出的幅值對頻率變化很敏感,頻率約高,則衰減越明顯。所以,就如上篇中3.3.2所說,這個系統叫作“低通濾波器”,因為只有低頻可以舒服地通過,而高頻輸入則會得到很大的衰減。
例如上面那個算例ω = 1和ω = 3的輸入和輸出,ω = 3被更明顯地削弱了。
這里就要提一下濾波器設計了。圖表4的圖告訴我們:
在ω = 1的頻率,幅值衰減了0.707倍,我們也叫做濾波器的“剪切頻率ωc”;
在ω = 0.1(0.1ωc)的頻率,幅值衰減了0.995倍,可以基本認為沒有衰減;
在ω = 10(10ωc)的頻率,幅值衰減到了9.95%,可以基本認為衰減完了。
所以可以認為,當ω < 0.1時,輸出沒有明顯衰減;當ω > 10時,輸出基本衰減廢了;0.1 < ω < 10時,輸出有衰減,但是還不至于消失。
這個顯著的頻率響應很重要。如果我們需要保留的信號ω < 0.1,而需要滅除的信號ω > 10,這個濾波器無疑很合適。也就是需要滅除的信號頻率/有用的信號 > 100。
這里要說一下賽思億的變頻器,開關頻率是需要滅除的信號,頻率一般是2.5kHz(諧波),而有用的信號一般是基波,頻率一般是50Hz,則需要滅除的信號頻率/有用的信號 = 50,即便我們再怎么移動這個濾波器剪切頻率,或者我們另基波分量衰減,或者我們必須容忍較大分量的諧波存在。
從0.1ωc過渡到10ωc,圖表4給出的幅值響應隨著ω的增加衰減太平緩了。為了解決這個問題,我們需要使用更高階的濾波器設計。
為了考察這個濾波器設計,賽思億通常由R、C和L組成二階正弦波濾波器,然后也大量使用波特圖考察濾波器設計的特性,一個典型的幅頻響應參見圖表5。

圖表 5 典型的濾波器幅頻響應
本篇和上篇蜻蜓點水一般寫了一些關于拉普拉斯變換和傅里葉變換的一些理解,給出一些小結和感悟如下:
1、拉普拉斯變換引入了傳遞函數的概念,給出系統在特定輸入下輸出特定相應的規律總結,把一大堆一階、二階、穩定、不穩定系統都用傳遞函數方式表達了出來;
2、傅里葉變換引入了頻域的概念,將一大堆雜亂無章的重復波形,用頻域上的XY軸輕易分解了出來;
3、線性時不變系統和波特圖利用拉普拉斯變化和傅里葉變化對電氣信號的理解,給了我們方便易用的系統分析工具,盡管拉普拉斯拒了傅里葉的論文,但是兩位老先生聯手給了電力系統、電氣信號的簡潔而易用的描述方式,這些描述方式和衍生工具幫助我們理解并設計相應系統;
4、在電力推進系統中,如果出現詭異而不可捉摸的問題,那一定是我們還沒理解系統,我們的電氣世界已經被兩位老先生闡述的足夠清晰和簡潔,人生的難題大部分是因為不理解,電氣世界也是,盡管大學的時候飽經折磨,但還是感謝倆老頭,給所有的電氣人打開了一雙眼睛,讓我們從另外的角度看待電氣世界,讓我們在面對多變而難以捉摸的電氣系統時,不再那么的無助。
提示:上文的觀點如果難以理解,建議配合相應的專業書籍閱讀,你會在某些時刻和作者一樣在腦海中出現了一副3D眼鏡,幫助你理解電氣世界內的信號和系統,副作用是在你看某些印象派名畫時,會給出不知所云“這幅畫左上方的這個高頻脈沖信號很突兀”,容易被專業人士追打……